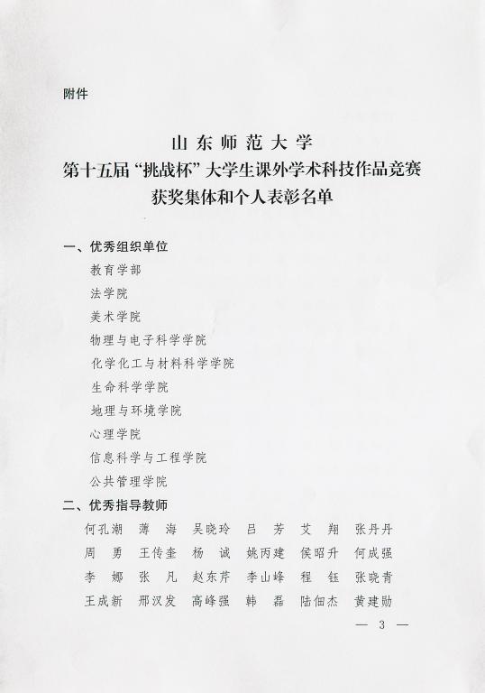
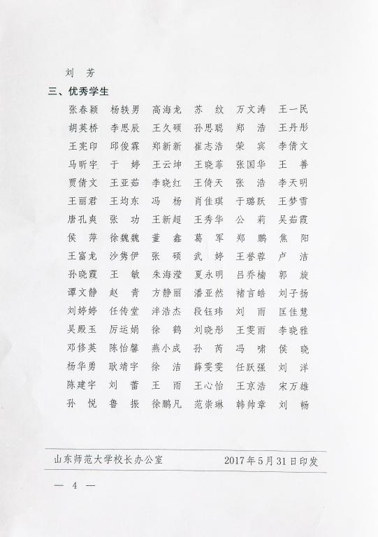
5月31日,第十五届“挑战杯”大学生课外学术科技作品竞赛省赛总结暨国赛动员会在千佛山校区文化楼四层会议厅举行。校长唐波、校党委副书记王焕斌、副校长满宝元出席会议。王焕斌宣读了《山东师范大学关于表彰第十五届“挑战杯”大学生课外学术科技作品竞赛获奖集体和个人的决定》。美术学院《齐鲁文化在当代家具设计中的传承与创新发展研究——以当代鲁作家具设计为例》团队获得了省级二等奖,美术学院获评“优秀组织单位”,艾翔老师与张丹丹老师获评“优秀指导教师”。
 |
美术学院获评“优秀组织单位”

|
 |
| 美术学院团队获得省级二等奖 |
美术学院参赛团队由环境设计、平面设计等不同专业的6名学生组成,团队成员坚持在学习中调研,以当事人的身份深入体会当代鲁作家具的设计现状、设计存在的问题,思考当代鲁作家具如何更好地发展和创新,并根据所学结合家具设计课程设计并制作了一系列家具。经过资料文献的查阅、文本讨论和反复修改,在学院领导老师的关心指导下,团队成员团结协作,顺利由校赛进入省赛,并在省赛中取得了二等奖的优异成绩。
 |
| 带队老师与同学们合影 |
 |
| 团队合影 |
“挑战杯”竞赛体现出的是一种争先进位、永不认输的挑战精神,这种精神就是“山师精神”。在当前的学校综合改革和“双一流”建设的关键时期,美术学院在备战与参赛的全过程中,无论是学院领导还是指导教师,都倾尽心血,高度重视,勇于接受挑战,敢于积极作为,努力树立“美院精神”,打造“美院品牌”。学院将继续卯足干劲,撸起袖子加油干,争取在今后的竞赛中取得更加优异的成绩。

 |
| 山东师范大学文件 |

 |
| 表彰名单 |

 |
| 获奖作品一览表 |